신규간호사를 위한 약물 용량 계산방법

이전 포스팅에서 수액속도절에 대해 이야기를 했었는데요, 이번에는 약물 용량 계산 공식에 대해서 알아봅시다.
신규간호사들이 어려워하는 부분 중 하나가 이 약물 용량 계산입니다.모든 약물을 정확한 처방량대로 주입해야하지만, 특히 용량을 계산해서 주입하는 약물들은 잘못된 용량 주입시 신체에 중대한 영향을 미칠 수 있기 때문에 용량을 정확하게 계산해서 처방량대로 주입될 수 있도록 해야합니다.특히 중환자실이나 응급실에서 일하는 선생님들은 필수로 숙지하고 계시길 바랍니다.
1. 응급약물 용량계산이 필요한 이유
의사 처방대로 약물을 주입하면 되는거지 용량을 왜 계산해야하지?라는 생각을 할 수가 있는데요.
보통 환자에게 주입될 약물의 처방은 mcg/kg/min의 단위로 처방이 됩니다.
하지만 우리가 약을 주기 위해서는 시간당 주입량을 알아야 수액속도를 조절할 수가 있습니다.
인퓨전펌프나 시린지펌프, dosiflow도 모두 ml/hr(시간당 cc)의 단위를 사용하고 있기 때문에 mcg/kg/min을 cc/hr로 변환해야합니다.
2. 용량 계산을 해야하는 자주 사용하는 약물
dopamin, dobutamin, Norpin, vasopressin, cordaron, nitroglycerin 등...
주로 승압제나 심장 관련 약물등을 사용할 때 약물 용량 계산이 필요합니다.
3. 응급 약물 용량 계산식
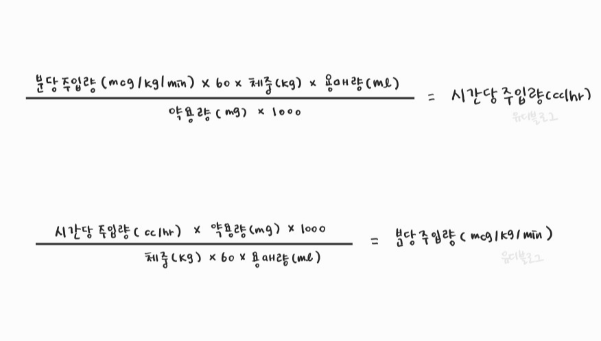
첫번쨰 공식을 알고 있으면 식을 변형하여 시간당 주입량을 분당 주입량으로 변환할 수 있기 때문에 분당 주입량을 시간당 주입량으로 변환하는 공식만 외워두시길 바랍니다.
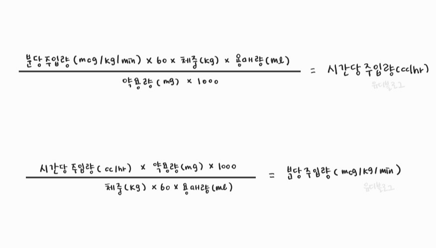
응급약물 용량 계산식 :
분당주입량(mcg/kg/min) * 60* 체중(kg)*용매량(ml) / 약용량(mg)*1000
= 시간당 주입량(ml/hr)

중요 약물들은 주로 환자 체중당 주입량이 결정되기 때문에 환자의 체중을 알아야합니다.
그리고 여기서 분당 주입량이 처방량, 용매량은 우리가 약물을 mix한 수액+약물의 양을 의미합니다.
그리고 "분당"주입량을 "시간당"주입량으로 변환하기 때문에 60을 곱해줘야합니다.

4. 약물 용량 계산 예시
예를들어, 체중이 60kg인 환자에게 800mg/500ml인 도파민 프리믹스가 10mcg/kg/min 처방났다면, 몇 cc로 주입해야할까요?
계산하는 방법은 아래와 같습니다.

'간호사 공부' 카테고리의 다른 글
| 신규간호사를 위한 PTBD, PTGBD 차이점 및 간호 (0) | 2023.12.21 |
|---|---|
| 신규간호사를 위한 검사 - 시낙텐 검사(RAST 검사,rapid ACTH stimulation test) (0) | 2023.09.13 |
| 신규간호사를 위한 감염관리 종류 (0) | 2023.02.26 |
| 신규간호사를 위한 활력징후 - 혈압 (0) | 2023.02.22 |
| 신규간호사를 위한 활력징후(체온,맥박,호흡) (0) | 2023.02.14 |